峰值包络
零件在受到多种工况作用下的结果,程序能够自动提取每一位置在每种工况下的最大米塞斯应力,而形成零件的响应最大值的包络,帮助工程师识别最大的风险位置。
工况组合
支持将多个线性工况的计算结果分别乘以合理的因子后,进行线性叠加,不用重新修改载荷再提交计算,快速分析问题。
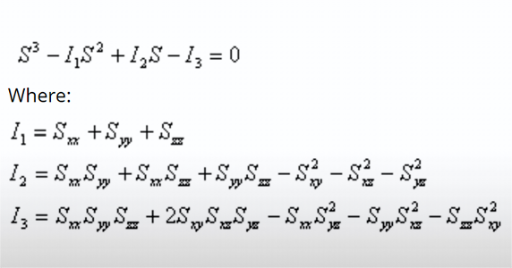
结果评价
仿真分析中,对结果进行准确的评价是非常重要的,软件中集成了多种常用的结果评价准则的计算方法,如强度安全因子计算、动刚度计算与传递路径分析(TPA)、车辆碰撞OLC计算与二阶梯度波形计算等结果评估的计算方法、电磁方向图、阻力发展曲线、静水压力分布图、温度均匀度分布图、局部y+换热系数等。
